Regarding Resource Typing Which of the Following Characteristics Are Typically
Frontiers Antimicrobial Resistance Profiling And Molecular Epidemiological Analysis Of Extended Spectrum B Lactamases Produced By Extraintestinal Invasive Escherichia Coli Isolates From Ethiopia The Presence Of International High Risk Clones St131

Regarding Resource Typing Which Of The Following Characteristics General Knowledge Pyranic
Social Selling Tips For Linkedin Is Linkedin A Great Source Of Leads For Your Business Follow These Tips And Let Linkedin Power Up Your Study Hall Socia
42 Regarding Resource Typing Which Of The Following Characteristics Are Course Hero
42 Regarding Resource Typing Which Of The Following Characteristics Are Course Hero
Ijms Free Full Text Look Who Rsquo S Talking Host And Pathogen Drivers Of Staphylococcus Epidermidis Virulence In Neonatal Sepsis Html
42 Regarding Resource Typing Which Of The Following Characteristics Are Course Hero
Disruptive Technology Reconsidered A Critique And Research Agenda Danneels 2004 Journal Of Product Innovation Management Wiley Online Library
Whole Genome Sequencing Of Staphylococcus Epidermidis Bloodstream Isolates From A Prospective Clinical Trial Reveals That Complicated Bacteraemia Is Caused By A Limited Number Of Closely Related Sequence Types Clinical Microbiology And Infection
Ijms Free Full Text Look Who Rsquo S Talking Host And Pathogen Drivers Of Staphylococcus Epidermidis Virulence In Neonatal Sepsis Html
Whole Genome Sequencing Of Staphylococcus Epidermidis Bloodstream Isolates From A Prospective Clinical Trial Reveals That Complicated Bacteraemia Is Caused By A Limited Number Of Closely Related Sequence Types Clinical Microbiology And Infection
Risks For Public Health Related To The Presence Of Bacillus Cereus And Other Bacillus Spp Including Bacillus Thuringiensis In Foodstuffs 2016 Efsa Journal Wiley Online Library
42 Regarding Resource Typing Which Of The Following Characteristics Are Course Hero
42 Regarding Resource Typing Which Of The Following Characteristics Are Course Hero
42 Regarding Resource Typing Which Of The Following Characteristics Are Course Hero
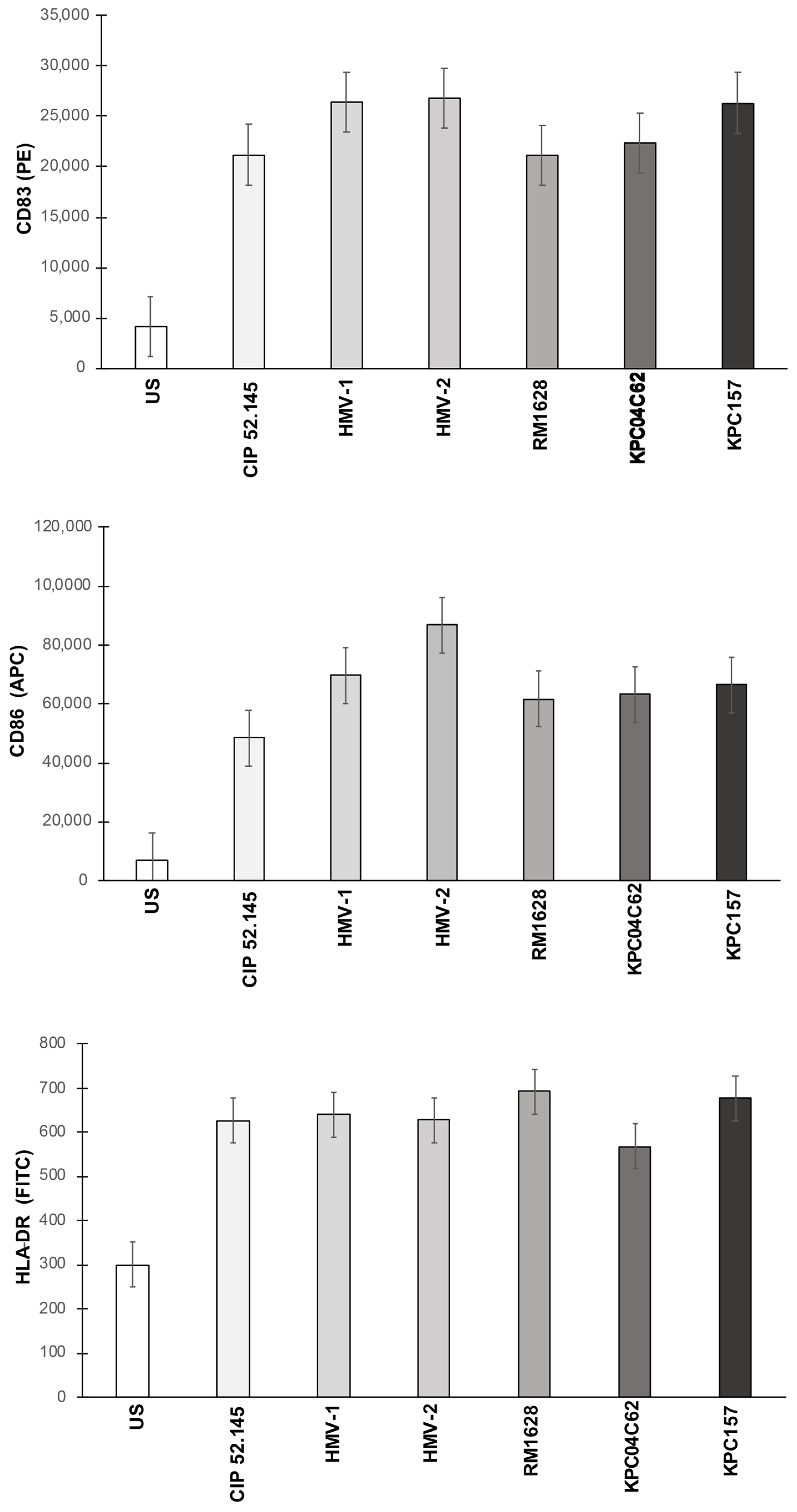
Microorganisms Free Full Text Hypervirulent Klebsiella Pneumoniae Strains Modulate Human Dendritic Cell Functions And Affect Th1 Th17 Response Html
Pathogenicity Assessment Of Shiga Toxin Producing Escherichia Coli Stec And The Public Health Risk Posed By Contamination Of Food With Stec 2020 Efsa Journal Wiley Online Library
Comments
Post a Comment